关于售后:
1、如果网盘下载链接失效,网盘链接失效,请添加客服微信:502212423,我们第一时间补发!
2、如资料存在张冠李戴、音视频无法播放等现象,请添加客服微信:502212423,我们无条件退款。
3、不用担心不给资料,如果没有及时回复也不用担心,看到了都会发给您的!请放心!(客服在线时间:北京时间8:00-23:30)
温馨提示: 温馨提示:部分玄学、风水、道法等资料非专业人士请勿模仿学习,仅供参考!
资料介绍
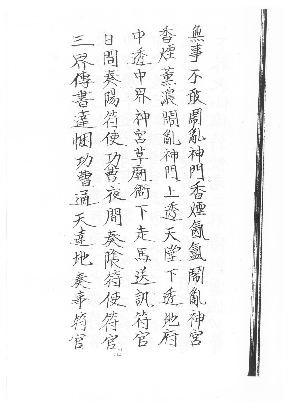
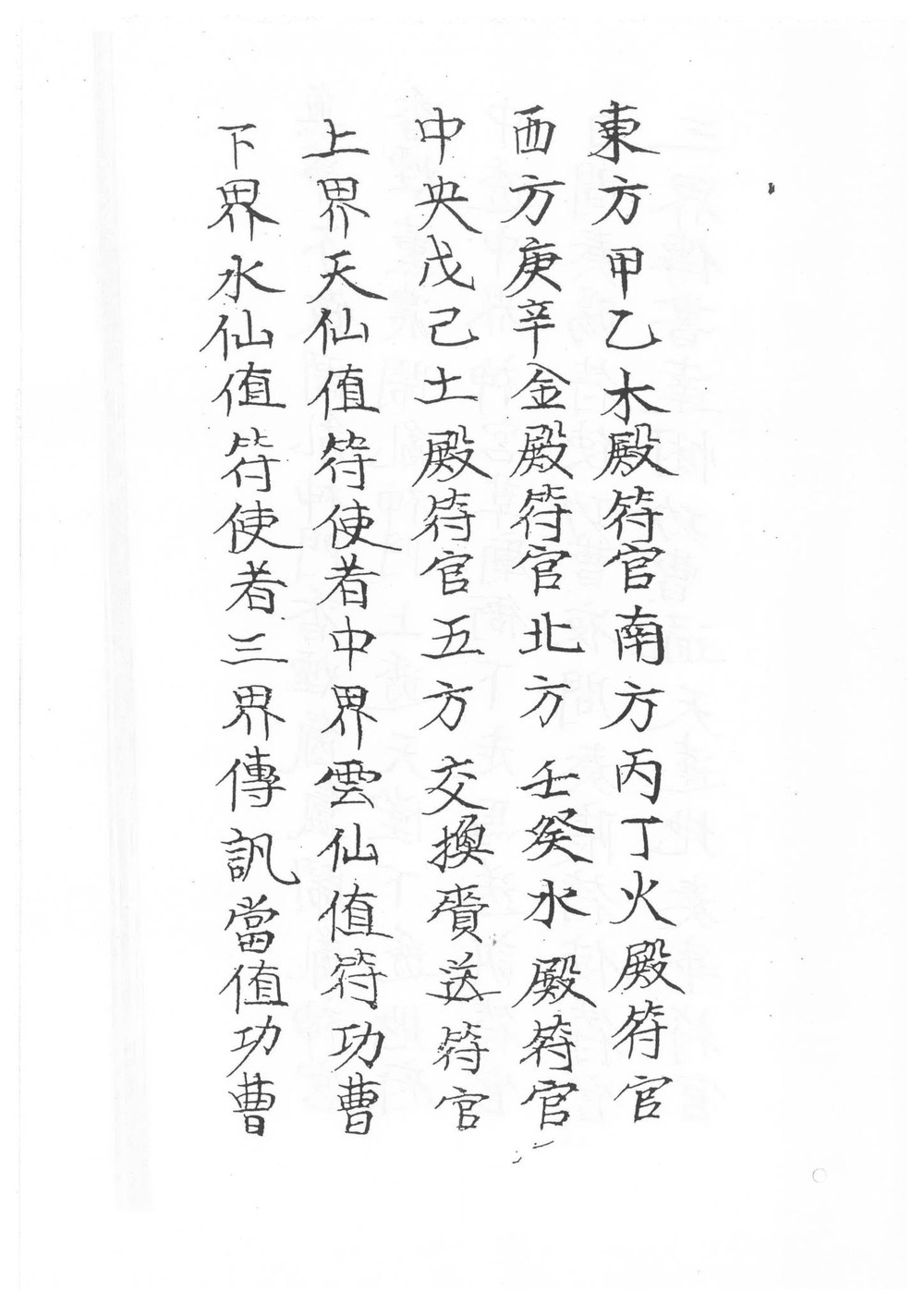
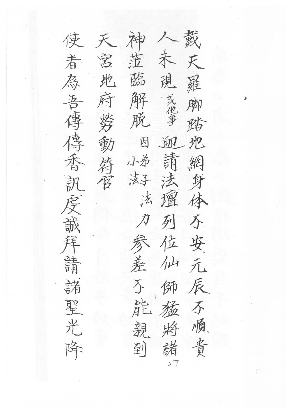
《符咒法本闾山龙玄门神霄开天罗地网消灾科仪》是一部闾山派与神霄派融合的道教法本资料,系统记载了以符咒、科仪为核心的消灾解厄法门。该资料的核心内容围绕“开天罗地网”这一特定科仪展开,详细阐述了其法理基础、仪式流程、符箓绘制、咒语念诵及坛场布置等实操环节。作为闾山龙玄门与神霄派交融的体现,资料兼具两派特色:既包含闾山派重视的符咒法术与请神降圣内容,也融入了神霄派注重雷法、天罡地煞运用的理论。其知识体系结构清晰,从科仪启建的前期准备(如净坛、请神),到核心的“开天罗地网”阵法施行(包括步罡踏斗、符令发布、咒诀配合),再到功成谢神的完整仪轨均有涵盖。该资料属于道教法术实践类文献,学术定位偏向于仪式文本与操作手册,对于研究闾山派、神霄派的科仪形态、符咒体系及民间道教法术的融合实践具有重要参考价值。其内容专业性强,涉及大量专有术语与秘传手法,适合具备一定道教基础知识,尤其对闾山派、神霄派或道教符咒科仪有研究兴趣的进阶学习者与专业研究者使用。
资源截图








资料目录
-
符咒法本闾山龙玄门神霄开天罗地网消灾科仪.pdf
13.69 MB
© 版权声明
(1)站内所有资源均来自互联网收集或用户上传分享,本站不拥有此类资源的版权;本网站资源价格不是商品价格,而是整理资源的成本和百度云盘超级会员的共享使用费用
(2)本站作为网络服务提供者,对非法转载,盗版行为的发生不具备充分监控能力.但是当版权拥有者提出侵权指控并出示充分版权证明材料时,本站负有移除盗版和非法转载作品以及停止继续传播的义务
(3)本站在满足前款条件下采取移除等相应措施后不为此向原发布人承担违约责任或其他法律责任,包括不承担因侵权指控不成立而给原发布人带来损害的赔偿责任
以上内容如果侵犯了你的权益,请联系我们进行处理:邮箱502212423@qq.com,我们将尽快处理。
THE END














