关于售后:
1、如果网盘下载链接失效,网盘链接失效,请添加客服微信:502212423,我们第一时间补发!
2、如资料存在张冠李戴、音视频无法播放等现象,请添加客服微信:502212423,我们无条件退款。
3、不用担心不给资料,如果没有及时回复也不用担心,看到了都会发给您的!请放心!(客服在线时间:北京时间8:00-23:30)
温馨提示: 温馨提示:部分玄学、风水、道法等资料非专业人士请勿模仿学习,仅供参考!
资料介绍
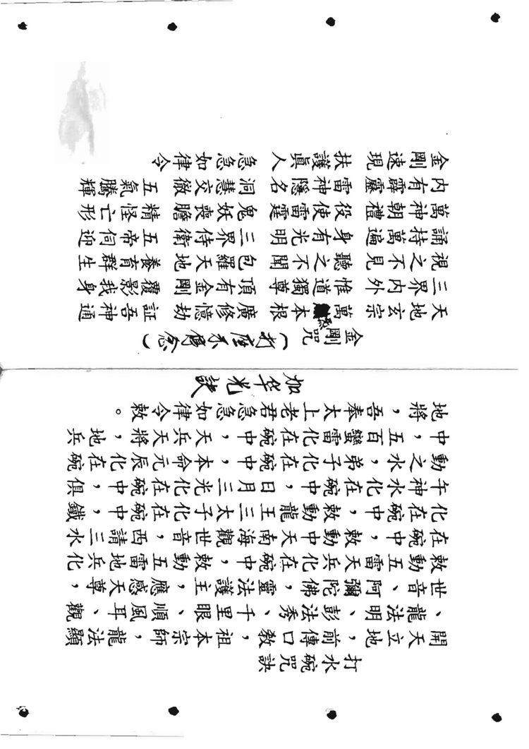
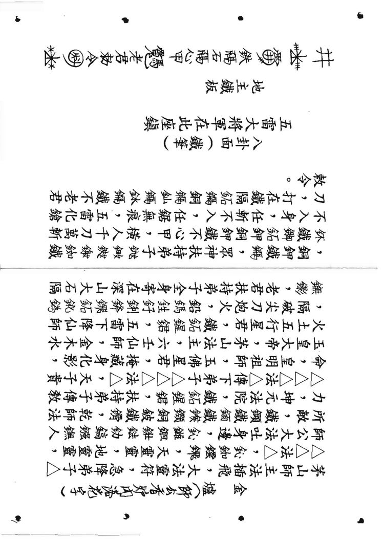
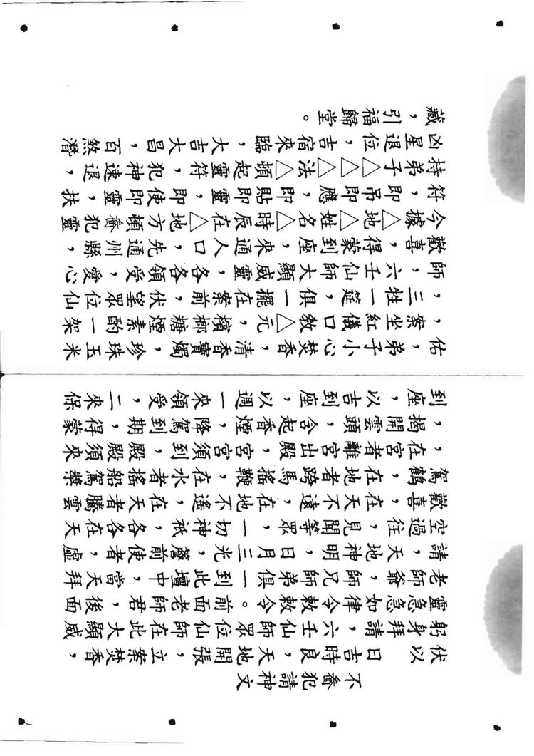
《六壬仙师宝录 仙師寶錄妙語1-4册》是一套系统性的六壬仙师信仰与法术实践资料合集,涵盖符咒、科仪、法诀及民间信仰等多个领域。该合集以四册形式呈现,内容主要包括符箓绘制、咒语念诵、法事流程及仙师传承等核心模块。第一册侧重基础符咒与入门仪式,第二册深入法诀应用与禁忌,第三册收录科仪文献与历史记载,第四册则整合民间妙语与实用案例。资料整合程度较高,各册内容相互衔接,形成从理论到实践的完整知识体系,具有较好的系统性和参考价值。该合集适用于对六壬仙师信仰、民间法术或传统文化研究有兴趣的读者,可作为进阶学习资料或专业研究参考。建议按册顺序系统学习,以理解其内在逻辑;也可根据具体需求查阅相关符咒或科仪内容,用于对比分析或实践应用。
资源截图
































资料目录
-
六壬仙師寶錄妙語(二).pdf
1.07 MB -
六壬仙師寶錄妙語(三).pdf
983.00 KB -
六壬仙師寶錄妙語(四).pdf
957.54 KB -
六壬仙師寶錄妙語(一).pdf
776.55 KB
© 版权声明
(1)站内所有资源均来自互联网收集或用户上传分享,本站不拥有此类资源的版权;本网站资源价格不是商品价格,而是整理资源的成本和百度云盘超级会员的共享使用费用
(2)本站作为网络服务提供者,对非法转载,盗版行为的发生不具备充分监控能力.但是当版权拥有者提出侵权指控并出示充分版权证明材料时,本站负有移除盗版和非法转载作品以及停止继续传播的义务
(3)本站在满足前款条件下采取移除等相应措施后不为此向原发布人承担违约责任或其他法律责任,包括不承担因侵权指控不成立而给原发布人带来损害的赔偿责任
以上内容如果侵犯了你的权益,请联系我们进行处理:邮箱502212423@qq.com,我们将尽快处理。
THE END
















